جميع نماذج امتحانات الوزارة الاسترشادية في الرياضيات البحتة للغات Pure Math للثانوية العامة 2025 بصيغة PDF
موقع وزارة التربية والتعليم
النماذج الاسترشادية في الرياضيات البحتة للغات Pure Math للثانوية العامة أبريل 2025 بصيغة pdf
امتحان الجبر والهندسة الفراغية للغات Algebra and Analytic solid geometry للثانوية العامة 2023 بصيغة PDF مع نموذج الإجابة الرسمي
امتحان التفاضل والتكامل للغات Calculus للثانوية العامة 2023 بصيغة PDF مع نموذج الإجابة الرسمي
امتحان الجبر والهندسة الفراغية للغات (Algebra and Analytic solid geometry) للثانوية العامة الدور الأول 2024 بصيغة PDF بنموذج الإجابات الرسمي
امتحان التفاضل والتكامل للغات Calculus للثانوية العامة الدور الأول 2024 بصيغة PDF بنموذج الإجابات الرسمي
نماذج الوزارة الاسترشادية في الرياضيات البحتة بالإنجليزي Pure Math للصف الثالث الثانوي فبراير 2025 بصيغة PDF
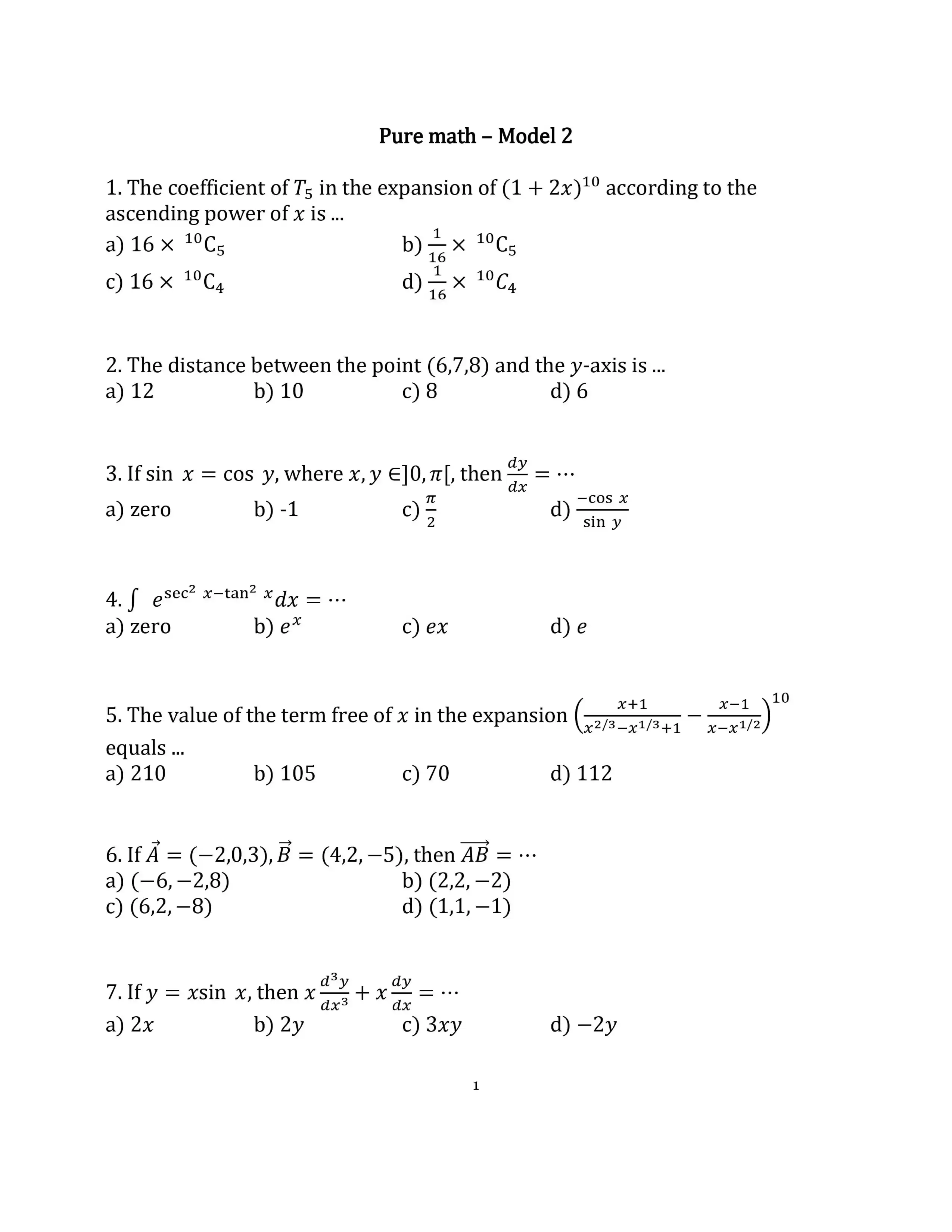
نموذج الامتحان الاسترشادي الثاني في الرياضيات البحتة للغات Pure Math للصف الثالث الثانوي 2025 بصيغة PDF
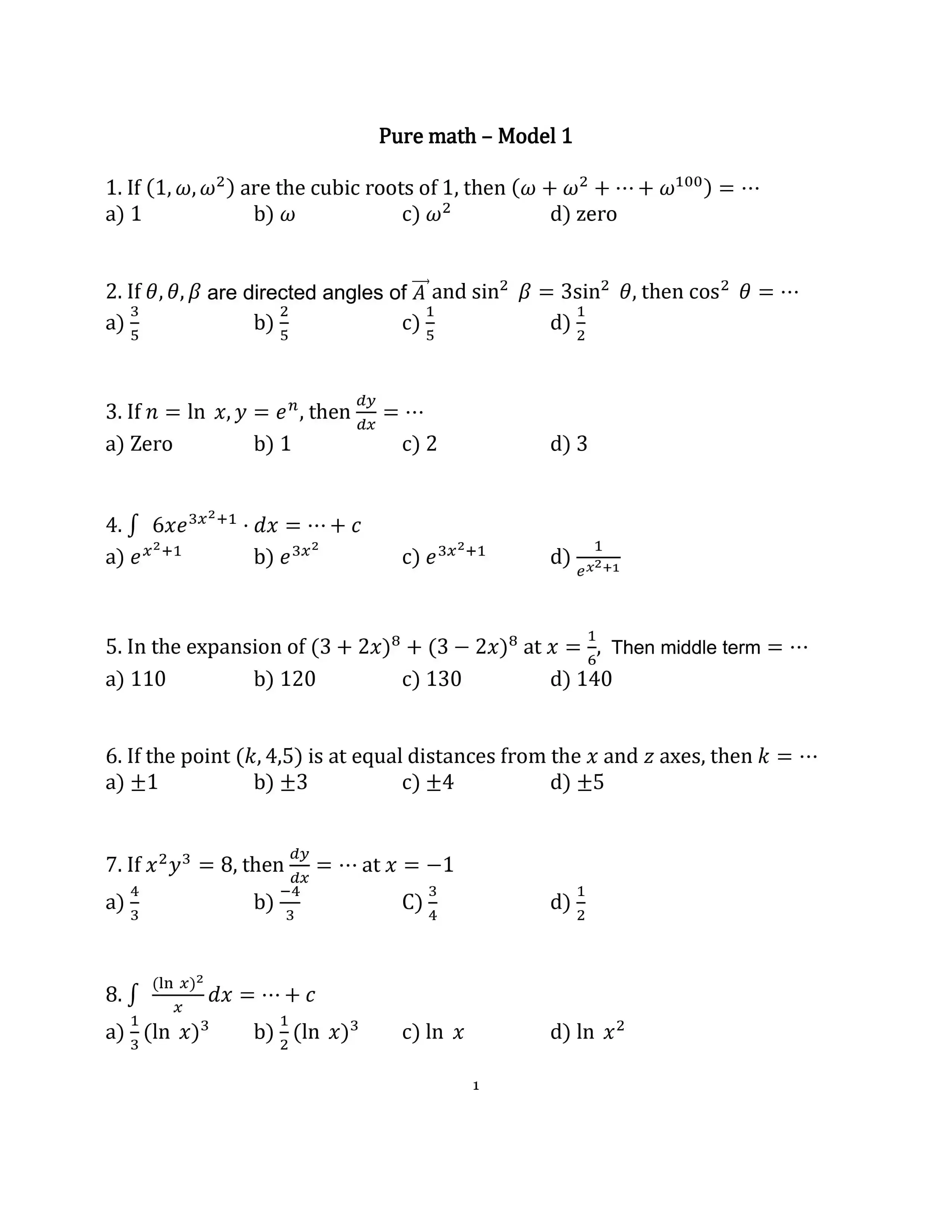
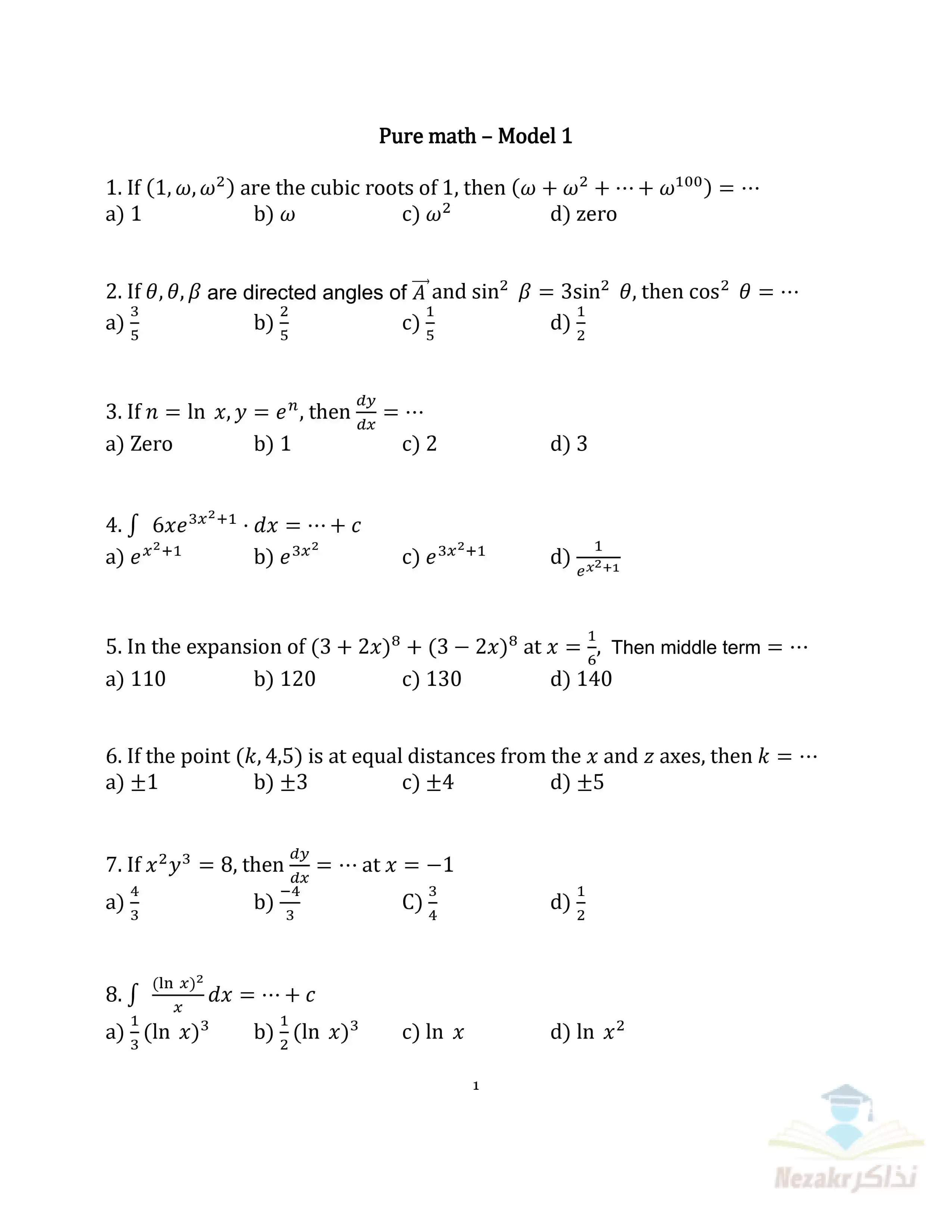
نموذج الامتحان الاسترشادي الأول في الرياضيات البحتة للغات Pure Math للصف الثالث الثانوي 2025 بصيغة PDF